Achtung - unstrukturierte Stoffsammlung!

 

Als Louise de Broglie in seiner Dissertation "Recherche sur la theorie des quanta" die These aufstellte, dass nicht nur Licht neben seiner Korpuskelstruktur auch Wellencharakter habe, sondern auch jede materielle Teilchen mit einer Ruhemasse ungleich Null, wurde diese Arbeit abgelehnt! Erst nach einer positiven Reaktion von Albert Einstein wurde die Arbeit angenommen. Sie wurde 1929 mit dem Nobelpreis geehrt.

Sehr vereinfacht hat de Broglie die Einsteins Beziehung p = h / λ 'auf den Kopf' gestellt:

 

λ = h / p

für jedes materielle Teilchen.

Ein anderer Zugang ist eine Mischung aus klassischer Physik und Quantenphysik: urn:x-wiley:00319252:piuz202101623:equation:piuz202101623-math-0002

 

Die ersten Nachweise von Elektroneninterferenzen durch Davisson, Germer und Thomson bestätigten de Broglies Wellenlängenformel.

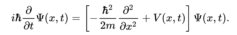
Erwin Schrödinger formulierte auf dieser Grundlage die berühmte "Schrödinger-Gleichung":

Im schrödingerschen Original:

Für ein Teilchen im Kasten gibt es folgende numerische Lösungen seiner Wellenfunktion:

Versuchen wir, die Schrödinger Gleichung zu verstehen

Im diesem Workshop sollte es doch ein wenig mathematisch werden, indem mal ein Blick in die Mächtigkeit sog. Differentialgleichungen und deren numerische Lösungen geworfen wird.

Betrachten wir beispielsweise mal ein mittleres E-Auto mit 200 kW = 200 *1000 * J/sec mit einer Masse von 800 kg. Was kann man daraus klassisch mit Newtons Mechanik berechnen, wenn das Fahrzeug die Leistung zu 100 % auf die Straße bringt ....?

Dazu ein paar Vormerkungen:

Das MKS-System (Meter-Kilogramm-Sekunde) ist ein metrisches Einheitensystem, das Meter für Länge, Kilogramm für Masse und Sekunde für Zeit als Basiseinheiten verwendet und die Grundlage für das heutige SI-System (Internationales Einheitensystem) bildet.

physikalische Größe Name Formelzeichen Definition Einheiten
Strecke, Entfernung Meter l, s, x, .... Link 1 m, 1 km = 1000m, ...
Masse Masse m Link 1 Gramm, 1 Kilogramm = 1000 Gramm, ...
Zeit Zeit t Link 1 Sekunde, 1 Stunde = 60*60 Sekunden, ....
Ort        
Geschwindigkeit        
Impuls        
Beschleunigung        

 

Rechnen wir 200 kW in kJ/sec um

Es gilt: Watt= J/sec .....  Also 200 kW*3.8 sec = 200 *1000 * Watt 3.8 sec = 2*10J/sec * 3.8 sec = 7.6 *102 sec/sec kJ = Ekin

Lösen wir Ekin = 1/2 m vnach 'v' auf:

v= Wurzel(2*200kW*3.8sec /800kg)  - Einheitenbetrachtung: [J/sec * .... * ....

Beschleunigung a = Δ v / Δ t    oder in infinitesimalen Größen:

a = dv(t)/dt   = d2x(t) / dt

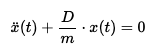
oder: DGL einer harmonischen Federschwingung

Es gilt die Energieerhaltung: Ekin + Epot = konstant, also 1/2* m*x'(t)2 + 1/2*D*x2(t) = const - davon die 1. Ableitung:1/2*2*m*x'(t)1*x''(t) + 1/2*2*D*x1(t)*x'(t) = 0 oder

[x''(t) + D/m*x(t)]= 0 oder x''(t) = -x(t)

Steckt da irgendwo nochein Fehler ????

Jedenfalls schreiben wir dies im Hinblick auf das, was Schrödinger gemacht hat, auf sog. Differentialoperatoren um:
erste zeitliche Ableitung (...) -> d...  / dt und mv2 =  1/m*(mv)2 = p2 / m, also:

d (p(t))2 / dt

 

m

 

 

          

 

.....

Letztere Darstellung stellt die Frage nach einer Funktion - zB y(t) -, für welche für eine gegebene Aussageform - zB y''(t) = -y(t) - gilt. Dies ist bereits eine verallgemeinerte Fragestellung einer mathematischen Aussage - ist 0 = 1 wahr oder falsch - oder: gesucht ist eine Zahl x für die x = 7-4 eine wahre Aussage ergibt: 3= 7-4 ist wahr, 2 = 7-4 ist eine falsche Aussage.

Lohnenswert ist es auch, neben einer Schwingung auch Seilwllen zu betrachten:

Link zur Seite dieser Simulation

ausführlichste Darstellung des Physikdepartement ETH Zurich in einer pdf: Link

die Gleichung einer Seilwelle:

 

 

 

 

Schrödinger sucht nach einer Funktion, welche die Ausbreitung von Materiewellen beschreibt ....

Siehe dazu Link1, oder ...

Die Schrödingergleichung ist eine der grundlegenden Gleichungen der Quantenmechanik, die ihrerseits eine der Hauptsäulen der modernen Physik ist. Sie beschreibt die zeitliche Veränderung des quantenmechanischen Zustands eines physikalischen Systems in nichtrelativistischer Näherung in Form einer partiellen Differentialgleichung. Die Gleichung wurde 1926 von Erwin Schrödinger für die Ausbreitung von Materiewellen (Wellenmechanik) aufgestellt und bei ihrer ersten Anwendung erfolgreich zur Erklärung des Spektrums des Wasserstoffatoms, des Harmonischen Oszillators und des rotierenden Moleküls genutzt.

 

, wobei i für die imaginäre Einheit Wurzel(-1) steht, hquer für h/2π und der für die partiellen Ableitungen nach Ortsvariablen: .... puhh

Das Video zur analytischen Lösung: https://youtu.be/RWA_idkxScw

Quelle: 

Wir benutzen Cookies

Wir nutzen Cookies auf unserer Website. Einige von ihnen sind essenziell für den Betrieb der Seite, während andere uns helfen, diese Website und die Nutzererfahrung zu verbessern (Tracking Cookies). Sie können selbst entscheiden, ob Sie die Cookies zulassen möchten. Bitte beachten Sie, dass bei einer Ablehnung womöglich nicht mehr alle Funktionalitäten der Seite zur Verfügung stehen.